login  home  contents  what's new  discussion  bug reports     help  links  subscribe  changes  refresh  edit

spad
---)lisp (setq |$inclAssertions| nil)
--- https://en.wikipedia.org/wiki/Tensor_algebra
)abbrev category TENALGC TensorAlgebraCategory TensorAlgebraCategory(R : CommutativeRing, M : Module(R)) : Category == Module(R) with tensor : (List M) -> % ++ \spad{tensor([x1, x2, ..., xn])} constructs the tensor ++ product of \spad{x1, x2, ..., xn}. if M has Algebra(R) then Algebra(R) TensorProductCategory(R, M, M) add tensor(a : M, b : M) : % == tensor [a, b]
)abbrev domain TENSALG TensorAlgebra TensorAlgebra(R : CommutativeRing, B : OrderedSet, _ M : FreeModuleCategory(R, B)) : TPcat == TPimp where TPcat == Join(TensorAlgebraCategory(R, M), GradedAlgebra(R, M), FreeModuleCategory(R, Vector(B))) with
tensor : List B -> % coerce : B -> % --NEW _* : (%,%) -> % --NEW
TERM1 ==> Record(k : B, c : R)
Bn ==> Vector B Bntmp ==> List B TERM ==> Record(k : Bn, c : R) TERMtmp ==> Record(k : Bntmp, c : R) GARM ==> GradedAlgebra(R, M) --NEW
TPimp == FreeModule(R, Bn) add
--NEW prodTERM2(a:TERM,b:TERM):% == la:List B:=entries(a.k) lb:List B:=entries(b.k) lab:List B:=concat(la,lb) a.c*b.c*tensor(lab)
--NEW from GradedAlgebra product(x:%,y:%):% == tx:=listOfTerms x ty:=listOfTerms y r:=0$% for a in tx repeat for b in ty repeat r:=r+prodTERM2(a,b) return(r)
x*y == product(x,y)
--NEW coerce(b:B):% == tensor([b]) coerce(r:R):% == construct [[[],r]$TERM]
coerce(x : %) : OutputForm == zero? x => (0$R) :: OutputForm le : List OutputForm := [] rec : TERM for rec in reverse listOfTerms x repeat if not empty?(rec.k) then --NEW ko : OutputForm := reduce(tensor, [b::OutputForm for b in parts rec k]) else ko : OutputForm := outputForm(1)$OutputForm --NEW rec.c = 1 => le := cons(ko, le) le := cons(rec.c :: OutputForm * ko, le) reduce("+",le)
partialTensor : (List B, List M)->List TERMtmp
partialTensor(bb : List B, xx : List M) : List TERMtmp == res : List TERMtmp x1 : M := first xx xr : List M := rest xx s1 : List TERM1 tt : List TERMtmp if empty? xr then for s1 in listOfTerms x1 repeat res := cons([ cons(s1.k, bb), s1.c], res) else for s1 in listOfTerms x1 repeat for tt in partialTensor(cons(s1.k, bb), xr) repeat res := cons([tt k, s1 c*tt c], res) reverse res
tensor(bb : List B) : % == monomial(1, vector bb)
-- Always satisfied, but compiler is too weak to notice this if Vector(B) has Comparable then
tensor(xx : List M) : % == --not size?(xx,n) => error "wrong size" any?(zero?, xx) => 0 res : List TERM := [] tt : TERMtmp for tt in partialTensor(empty()$(List B), xx) repeat res := cons([vector reverse tt k, tt c], res) constructOrdered reverse res
-- Multiplication in the algebra -- We must reconstruct the elements of the factors. Take all terms, -- extract the coefficients, take the product of the basis elements -- in the algebras and tensorize.
if M has Algebra(R) then (x1 : % * x2 : %) : % == res : List TERM := empty() for t1 in listOfTerms x1 repeat for t2 in listOfTerms x2 repeat -- the coefficients t1c : R := t1.c t2c : R := t2.c -- the basis elements t1k : Bn := t1.k t2k : Bn := t2.k t1t2 : % := (t1 c)*(t2 c)*tensor([monomial(1, b1)* monomial(1, b2) _ for b1 in parts t1 k for b2 in parts t2 k]) for t in listOfTerms t1t2 repeat res := cons(t, res) construct res
spad
   Compiling FriCAS source code from file 
      /var/lib/zope2.10/instance/axiom-wiki/var/LatexWiki/2207534258142468822-25px001.spad
      using old system compiler.
   TENALGC abbreviates category TensorAlgebraCategory 
------------------------------------------------------------------------
   initializing NRLIB TENALGC for TensorAlgebraCategory 
   compiling into NRLIB TENALGC 
;;; *** |TensorAlgebraCategory| REDEFINED Time: 0.01 SEC.
TENALGC- abbreviates domain TensorAlgebraCategory& ------------------------------------------------------------------------ initializing NRLIB TENALGC- for TensorAlgebraCategory& compiling into NRLIB TENALGC- compiling exported tensor : (M,M) -> S Time: 0.01 SEC.
(time taken in buildFunctor: 0)
;;; *** |TensorAlgebraCategory&| REDEFINED Time: 0.01 SEC.
Cumulative Statistics for Constructor TensorAlgebraCategory& Time: 0.02 seconds
finalizing NRLIB TENALGC- Processing TensorAlgebraCategory& for Browser database: --->-->TensorAlgebraCategory&(constructor): Not documented!!!! --------(tensor (% (List M)))--------- --->-->TensorAlgebraCategory&(): Missing Description ; compiling file "/var/aw/var/LatexWiki/TENALGC-.NRLIB/TENALGC-.lsp" (written 30 JAN 2020 06:34:57 PM):
; /var/aw/var/LatexWiki/TENALGC-.NRLIB/TENALGC-.fasl written ; compilation finished in 0:00:00.009 ------------------------------------------------------------------------ TensorAlgebraCategory& is now explicitly exposed in frame initial TensorAlgebraCategory& will be automatically loaded when needed from /var/aw/var/LatexWiki/TENALGC-.NRLIB/TENALGC- finalizing NRLIB TENALGC Processing TensorAlgebraCategory for Browser database: --->-->TensorAlgebraCategory(constructor): Not documented!!!! --------(tensor (% (List M)))--------- --->-->TensorAlgebraCategory(): Missing Description ; compiling file "/var/aw/var/LatexWiki/TENALGC.NRLIB/TENALGC.lsp" (written 30 JAN 2020 06:34:57 PM):
; /var/aw/var/LatexWiki/TENALGC.NRLIB/TENALGC.fasl written ; compilation finished in 0:00:00.003 ------------------------------------------------------------------------ TensorAlgebraCategory is now explicitly exposed in frame initial TensorAlgebraCategory will be automatically loaded when needed from /var/aw/var/LatexWiki/TENALGC.NRLIB/TENALGC
TENSALG abbreviates domain TensorAlgebra ------------------------------------------------------------------------ initializing NRLIB TENSALG for TensorAlgebra compiling into NRLIB TENSALG compiling local prodTERM2 : (Record(k: Vector B,c: R),Record(k: Vector B,c: R)) -> $ Time: 0.02 SEC.
compiling exported product : ($,$) -> $ Time: 0.01 SEC.
compiling exported * : ($,$) -> $ Time: 0 SEC.
compiling exported coerce : B -> $ Time: 0 SEC.
compiling exported coerce : R -> $ Time: 0 SEC.
compiling exported coerce : $ -> OutputForm Time: 0.02 SEC.
compiling local partialTensor : (List B,List M) -> List Record(k: List B,c: R) Time: 0.01 SEC.
compiling exported tensor : List B -> $ Time: 0 SEC.
****** Domain: (Vector B) already in scope augmenting (Vector B): (Comparable) compiling exported tensor : List M -> $ Time: 0.01 SEC.
****** Domain: M already in scope augmenting M: (Algebra R) compiling exported * : ($,$) -> $ Time: 0.01 SEC.
****** Domain: R already in scope augmenting R: (OrderedAbelianMonoidSup) ****** Domain: (Vector B) already in scope augmenting (Vector B): (OrderedSet) ****** Domain: (Vector B) already in scope augmenting (Vector B): (Comparable) ****** Domain: M already in scope augmenting M: (Algebra R) (time taken in buildFunctor: 20)
;;; *** |TensorAlgebra| REDEFINED
;;; *** |TensorAlgebra| REDEFINED Time: 0.03 SEC.
Warnings: [1] prodTERM2: k has no value [2] prodTERM2: c has no value [3] *: signature of lhs not unique: $$$ chosen [4] coerce: k has no value [5] coerce: c has no value [6] partialTensor: k has no value [7] partialTensor: c has no value [8] partialTensor: res has no value [9] tensor: k has no value [10] tensor: c has no value [11] *: c has no value [12] *: k has no value
Cumulative Statistics for Constructor TensorAlgebra Time: 0.11 seconds
--------------non extending category---------------------- .. TensorAlgebra(#1,#2,#3) of cat (|Join| (|TensorAlgebraCategory| |#1| |#3|) (|GradedAlgebra| |#1| |#3|) (|FreeModuleCategory| |#1| (|Vector| |#2|)) (CATEGORY |domain| (SIGNATURE |tensor| ($ (|List| |#2|))) (SIGNATURE |coerce| ($ |#2|)) (SIGNATURE * ($ $ $)))) has no (IF (|has| |#1| (|CommutativeRing|)) (ATTRIBUTE (|Module| |#1|)) |noBranch|) finalizing NRLIB TENSALG Processing TensorAlgebra for Browser database: --->-->TensorAlgebra(constructor): Not documented!!!! --->-->TensorAlgebra((tensor (% (List B)))): Not documented!!!! --->-->TensorAlgebra((coerce (% B))): Not documented!!!! --->-->TensorAlgebra((* (% % %))): Not documented!!!! --->-->TensorAlgebra(): Missing Description ; compiling file "/var/aw/var/LatexWiki/TENSALG.NRLIB/TENSALG.lsp" (written 30 JAN 2020 06:34:57 PM):
; /var/aw/var/LatexWiki/TENSALG.NRLIB/TENSALG.fasl written ; compilation finished in 0:00:00.060 ------------------------------------------------------------------------ TensorAlgebra is now explicitly exposed in frame initial TensorAlgebra will be automatically loaded when needed from /var/aw/var/LatexWiki/TENSALG.NRLIB/TENSALG

fricas
B:=OrderedVariableList [e[i] for i in 1..3]

\label{eq1}\hbox{\axiomType{OrderedVariableList}\ } ([ e [ 1 ] , e [ 2 ] , e [ 3 ] ])(1)
Type: Type
fricas
e:=enumerate()$B

\label{eq2}\left[{e_{1}}, \:{e_{2}}, \:{e_{3}}\right](2)
Type: List(OrderedVariableList([e[1],e[2],e[3]]))
fricas
R:=Expression Integer

\label{eq3}\hbox{\axiomType{Expression}\ } (\hbox{\axiomType{Integer}\ })(3)
Type: Type
fricas
R has CommutativeRing

\label{eq4} \mbox{\rm true} (4)
Type: Boolean
fricas
M:=FreeModule(R, B)

\label{eq5}\hbox{\axiomType{FreeModule}\ } (\hbox{\axiomType{Expression}\ } (\hbox{\axiomType{Integer}\ }) , \hbox{\axiomType{OrderedVariableList}\ } ([ e [ 1 ] , e [ 2 ] , e [ 3 ] ]))(5)
Type: Type
fricas
TA:=TensorAlgebra(R,B,M)

\label{eq6}\hbox{\axiomType{TensorAlgebra}\ } (\hbox{\axiomType{Expression}\ } (\hbox{\axiomType{Integer}\ }) , \hbox{\axiomType{OrderedVariableList}\ } ([ e [ 1 ] , e [ 2 ] , e [ 3 ] ]) , \hbox{\axiomType{FreeModule}\ } (\hbox{\axiomType{Expression}\ } (\hbox{\axiomType{Integer}\ }) , \hbox{\axiomType{OrderedVariableList}\ } ([ e [ 1 ] , e [ 2 ] , e [ 3 ] ])))(6)
Type: Type
fricas
--t1:=tensor([e.1,e.2,e.3,e.1,e.2])$TA
--t2:=tensor([e.1,e.2,e.3,e.1])$TA
--t3:=tensor([e.1,e.2,e.3,e.2])$TA
--t4:=tensor([e.1,e.2,e.3])$TA
--T:=x*t1+y^2*t2+z^3*t3-u*t4
b:=[a::TA for a in e]

\label{eq7}\left[{e_{1}}, \:{e_{2}}, \:{e_{3}}\right](7)
Type: List(TensorAlgebra?(Expression(Integer),OrderedVariableList([e[1],e[2],e[3]]),FreeModule(Expression(Integer),OrderedVariableList([e[1],e[2],e[3]]))))
fricas
T:=x*b.1+y*b.2-z*b.3

\label{eq8}{x \ {e_{1}}}+{y \ {e_{2}}}-{z \ {e_{3}}}(8)
Type: TensorAlgebra?(Expression(Integer),OrderedVariableList([e[1],e[2],e[3]]),FreeModule(Expression(Integer),OrderedVariableList([e[1],e[2],e[3]])))
fricas
S:=y^n*b.1-cos(x)*b.2

\label{eq9}{{{y}^{n}}\ {e_{1}}}-{{\cos \left({x}\right)}\ {e_{2}}}(9)
Type: TensorAlgebra?(Expression(Integer),OrderedVariableList([e[1],e[2],e[3]]),FreeModule(Expression(Integer),OrderedVariableList([e[1],e[2],e[3]])))
fricas
U:=sin(x+y+z)*b.3

\label{eq10}{\sin \left({z + y + x}\right)}\ {e_{3}}(10)
Type: TensorAlgebra?(Expression(Integer),OrderedVariableList([e[1],e[2],e[3]]),FreeModule(Expression(Integer),OrderedVariableList([e[1],e[2],e[3]])))
fricas
p1:=product(T,T)

\label{eq11}\begin{array}{@{}l}
\displaystyle
{{{x}^{2}}\ {{e_{1}}\otimes{e_{1}}}}+{x \  y \ {{e_{1}}\otimes{e_{2}}}}-{x \  z \ {{e_{1}}\otimes{e_{3}}}}+ 
\
\
\displaystyle
{x \  y \ {{e_{2}}\otimes{e_{1}}}}+{{{y}^{2}}\ {{e_{2}}\otimes{e_{2}}}}-{y \  z \ {{e_{2}}\otimes{e_{3}}}}- 
\
\
\displaystyle
{x \  z \ {{e_{3}}\otimes{e_{1}}}}-{y \  z \ {{e_{3}}\otimes{e_{2}}}}+{{{z}^{2}}\ {{e_{3}}\otimes{e_{3}}}}
(11)
Type: TensorAlgebra?(Expression(Integer),OrderedVariableList([e[1],e[2],e[3]]),FreeModule(Expression(Integer),OrderedVariableList([e[1],e[2],e[3]])))
fricas
p2:=product(product(S,T),U)

\label{eq12}\begin{array}{@{}l}
\displaystyle
{x \ {\sin \left({z + y + x}\right)}\ {{y}^{n}}\ {{{e_{1}}\otimes{e_{1}}}\otimes{e_{3}}}}+ 
\
\
\displaystyle
{y \ {\sin \left({z + y + x}\right)}\ {{y}^{n}}\ {{{e_{1}}\otimes{e_{2}}}\otimes{e_{3}}}}- 
\
\
\displaystyle
{z \ {\sin \left({z + y + x}\right)}\ {{y}^{n}}\ {{{e_{1}}\otimes{e_{3}}}\otimes{e_{3}}}}- 
\
\
\displaystyle
{x \ {\cos \left({x}\right)}\ {\sin \left({z + y + x}\right)}\ {{{e_{2}}\otimes{e_{1}}}\otimes{e_{3}}}}- 
\
\
\displaystyle
{y \ {\cos \left({x}\right)}\ {\sin \left({z + y + x}\right)}\ {{{e_{2}}\otimes{e_{2}}}\otimes{e_{3}}}}+ 
\
\
\displaystyle
{z \ {\cos \left({x}\right)}\ {\sin \left({z + y + x}\right)}\ {{{e_{2}}\otimes{e_{3}}}\otimes{e_{3}}}}
(12)
Type: TensorAlgebra?(Expression(Integer),OrderedVariableList([e[1],e[2],e[3]]),FreeModule(Expression(Integer),OrderedVariableList([e[1],e[2],e[3]])))
fricas
p3:=tan(x)*1$TA

\label{eq13}{\tan \left({x}\right)}\  1(13)
Type: TensorAlgebra?(Expression(Integer),OrderedVariableList([e[1],e[2],e[3]]),FreeModule(Expression(Integer),OrderedVariableList([e[1],e[2],e[3]])))
fricas
s1:=p1+p2+p3

\label{eq14}\begin{array}{@{}l}
\displaystyle
{x \ {\sin \left({z + y + x}\right)}\ {{y}^{n}}\ {{{e_{1}}\otimes{e_{1}}}\otimes{e_{3}}}}+{{{x}^{2}}\ {{e_{1}}\otimes{e_{1}}}}+ 
\
\
\displaystyle
{y \ {\sin \left({z + y + x}\right)}\ {{y}^{n}}\ {{{e_{1}}\otimes{e_{2}}}\otimes{e_{3}}}}+{x \  y \ {{e_{1}}\otimes{e_{2}}}}- 
\
\
\displaystyle
{z \ {\sin \left({z + y + x}\right)}\ {{y}^{n}}\ {{{e_{1}}\otimes{e_{3}}}\otimes{e_{3}}}}-{x \  z \ {{e_{1}}\otimes{e_{3}}}}- 
\
\
\displaystyle
{x \ {\cos \left({x}\right)}\ {\sin \left({z + y + x}\right)}\ {{{e_{2}}\otimes{e_{1}}}\otimes{e_{3}}}}+ 
\
\
\displaystyle
{x \  y \ {{e_{2}}\otimes{e_{1}}}}- 
\
\
\displaystyle
{y \ {\cos \left({x}\right)}\ {\sin \left({z + y + x}\right)}\ {{{e_{2}}\otimes{e_{2}}}\otimes{e_{3}}}}+ 
\
\
\displaystyle
{{{y}^{2}}\ {{e_{2}}\otimes{e_{2}}}}+ 
\
\
\displaystyle
{z \ {\cos \left({x}\right)}\ {\sin \left({z + y + x}\right)}\ {{{e_{2}}\otimes{e_{3}}}\otimes{e_{3}}}}- 
\
\
\displaystyle
{y \  z \ {{e_{2}}\otimes{e_{3}}}}-{x \  z \ {{e_{3}}\otimes{e_{1}}}}-{y \  z \ {{e_{3}}\otimes{e_{2}}}}+ 
\
\
\displaystyle
{{{z}^{2}}\ {{e_{3}}\otimes{e_{3}}}}+{{\tan \left({x}\right)}\  1}
(14)
Type: TensorAlgebra?(Expression(Integer),OrderedVariableList([e[1],e[2],e[3]]),FreeModule(Expression(Integer),OrderedVariableList([e[1],e[2],e[3]])))
fricas
TA has GradedAlgebra(R,M)

\label{eq15} \mbox{\rm true} (15)
Type: Boolean
fricas
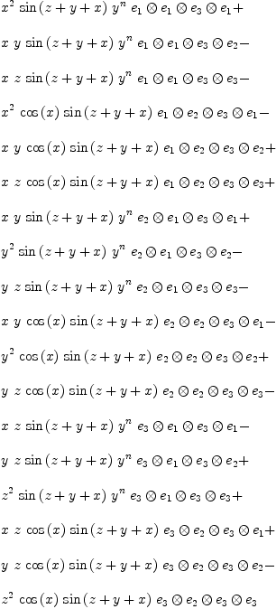
T*S*U*T

\label{eq16}\begin{array}{@{}l}
\displaystyle
{{{x}^{2}}\ {\sin \left({z + y + x}\right)}\ {{y}^{n}}\ {{{{e_{1}}\otimes{e_{1}}}\otimes{e_{3}}}\otimes{e_{1}}}}+ 
\
\
\displaystyle
{x \  y \ {\sin \left({z + y + x}\right)}\ {{y}^{n}}\ {{{{e_{1}}\otimes{e_{1}}}\otimes{e_{3}}}\otimes{e_{2}}}}- 
\
\
\displaystyle
{x \  z \ {\sin \left({z + y + x}\right)}\ {{y}^{n}}\ {{{{e_{1}}\otimes{e_{1}}}\otimes{e_{3}}}\otimes{e_{3}}}}- 
\
\
\displaystyle
{{{x}^{2}}\ {\cos \left({x}\right)}\ {\sin \left({z + y + x}\right)}\ {{{{e_{1}}\otimes{e_{2}}}\otimes{e_{3}}}\otimes{e_{1}}}}- 
\
\
\displaystyle
{x \  y \ {\cos \left({x}\right)}\ {\sin \left({z + y + x}\right)}\ {{{{e_{1}}\otimes{e_{2}}}\otimes{e_{3}}}\otimes{e_{2}}}}+ 
\
\
\displaystyle
{x \  z \ {\cos \left({x}\right)}\ {\sin \left({z + y + x}\right)}\ {{{{e_{1}}\otimes{e_{2}}}\otimes{e_{3}}}\otimes{e_{3}}}}+ 
\
\
\displaystyle
{x \  y \ {\sin \left({z + y + x}\right)}\ {{y}^{n}}\ {{{{e_{2}}\otimes{e_{1}}}\otimes{e_{3}}}\otimes{e_{1}}}}+ 
\
\
\displaystyle
{{{y}^{2}}\ {\sin \left({z + y + x}\right)}\ {{y}^{n}}\ {{{{e_{2}}\otimes{e_{1}}}\otimes{e_{3}}}\otimes{e_{2}}}}- 
\
\
\displaystyle
{y \  z \ {\sin \left({z + y + x}\right)}\ {{y}^{n}}\ {{{{e_{2}}\otimes{e_{1}}}\otimes{e_{3}}}\otimes{e_{3}}}}- 
\
\
\displaystyle
{x \  y \ {\cos \left({x}\right)}\ {\sin \left({z + y + x}\right)}\ {{{{e_{2}}\otimes{e_{2}}}\otimes{e_{3}}}\otimes{e_{1}}}}- 
\
\
\displaystyle
{{{y}^{2}}\ {\cos \left({x}\right)}\ {\sin \left({z + y + x}\right)}\ {{{{e_{2}}\otimes{e_{2}}}\otimes{e_{3}}}\otimes{e_{2}}}}+ 
\
\
\displaystyle
{y \  z \ {\cos \left({x}\right)}\ {\sin \left({z + y + x}\right)}\ {{{{e_{2}}\otimes{e_{2}}}\otimes{e_{3}}}\otimes{e_{3}}}}- 
\
\
\displaystyle
{x \  z \ {\sin \left({z + y + x}\right)}\ {{y}^{n}}\ {{{{e_{3}}\otimes{e_{1}}}\otimes{e_{3}}}\otimes{e_{1}}}}- 
\
\
\displaystyle
{y \  z \ {\sin \left({z + y + x}\right)}\ {{y}^{n}}\ {{{{e_{3}}\otimes{e_{1}}}\otimes{e_{3}}}\otimes{e_{2}}}}+ 
\
\
\displaystyle
{{{z}^{2}}\ {\sin \left({z + y + x}\right)}\ {{y}^{n}}\ {{{{e_{3}}\otimes{e_{1}}}\otimes{e_{3}}}\otimes{e_{3}}}}+ 
\
\
\displaystyle
{x \  z \ {\cos \left({x}\right)}\ {\sin \left({z + y + x}\right)}\ {{{{e_{3}}\otimes{e_{2}}}\otimes{e_{3}}}\otimes{e_{1}}}}+ 
\
\
\displaystyle
{y \  z \ {\cos \left({x}\right)}\ {\sin \left({z + y + x}\right)}\ {{{{e_{3}}\otimes{e_{2}}}\otimes{e_{3}}}\otimes{e_{2}}}}- 
\
\
\displaystyle
{{{z}^{2}}\ {\cos \left({x}\right)}\ {\sin \left({z + y + x}\right)}\ {{{{e_{3}}\otimes{e_{2}}}\otimes{e_{3}}}\otimes{e_{3}}}}
(16)
Type: TensorAlgebra?(Expression(Integer),OrderedVariableList([e[1],e[2],e[3]]),FreeModule(Expression(Integer),OrderedVariableList([e[1],e[2],e[3]])))




  Subject:   Be Bold !!
  ( 15 subscribers )  
Please rate this page: